小标
2018-12-24
来源 :
阅读 1362
评论 0
摘要:本文主要向大家介绍了【云计算】Matlab系列教程之数值计算求方差和标准差,通过具体的内容向大家展现,希望对大家学习云计算有所帮助。
本文主要向大家介绍了【云计算】Matlab系列教程之数值计算求方差和标准差,通过具体的内容向大家展现,希望对大家学习云计算有所帮助。
首先,什么是方差和标准差?
方差,是在概率论和统计方差衡量随机变量或一组数据时离散程度的度量,统计中的方差(样本方差)是每个样本值与全体样本值的平均数之差的平方值的平均数。在许多实际问题中,研究方差即偏离程度有着重要意义。
标准差,中文环境中又常称均方差,是离均差平方的算术平均数的平方根。标准差是方差的算术平方根。标准差能反映一个数据集的离散程度。平均数相同的两组数据,标准差未必相同。
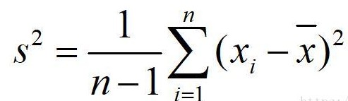
1.方差
计算公式:

在Matlab中使用方法是:
在Matlab中使用方法是:
V=std(X,flag,dim)
参数解释如下:
X为矩阵或者向量;
flag为权值,当flag等于0时:前置因子是1/(n-1),当flag等于0时:前置因子是1/(n),默认是0;
dim为维数,当dim=1时,表示计算列,当dim=2时,表示计算行。
matrix=[1, 2, 3; 4, 5, 6];
matrix_var_col=var(matrix); % 计算方差,权值为0,维度为1,也就是计算列方差
%matrix_var_col =
% 4.5000 4.5000 4.5000
matrix_var_row=var(matrix,0,2);% 计算方差,权值为0,维度为2,也就是计算行方差
%matrix_var_row =
% 1
% 1
matrix_std_col=std(matrix,1);% 计算标准差,权值为1,维度为1,也就是计算列标准差
%matrix_std_col =
% 1.5000 1.5000 1.5000
matrix_std_row=std(matrix,1,2);% 计算标准差,权值为1,维度为2,也就是计算行标准差
%matrix_std_row =
% 0.8165
% 0.8165
本文由职坐标整理并发布,希望对同学们有所帮助。了解更多详情请关注职坐标大数据云计算大数据安全频道!
喜欢 | 0
不喜欢 | 0
您输入的评论内容中包含违禁敏感词
我知道了

请输入正确的手机号码
请输入正确的验证码
您今天的短信下发次数太多了,明天再试试吧!
我们会在第一时间安排职业规划师联系您!
您也可以联系我们的职业规划师咨询:
版权所有 职坐标-一站式AI+学习就业服务平台 沪ICP备13042190号-4
上海海同信息科技有限公司 Copyright ©2015 www.zhizuobiao.com,All Rights Reserved.
沪公网安备 31011502005948号